Hệ thống truyền động kéo và hệ thống cáp
Một hệ thống cáp được sử dụng để kết nối động cơ, hộp giảm tốc, cabin thang máy và đối trọng. Có nhiều kiểu sắp xếp khác nhau có thể được sử dụng. Một trong các cách sắp xếp như trong Hình 1, cả hai đầu của cáp đều được neo vào dầm phía trên. Cả cabin thang máy và đối trọng đều được gắn với puly chuyển động tự do. Puly truyền động sẽ gắn cố định.
Truyền động lực kéo là phương pháp biến đổi cơ năng đầu vào (trong trường hợp này là chuyển động quay của trục) thành cơ năng sử dụng được trong hệ thống (chuyển động thẳng đứng của thang máy). Lực ma sát giữa cáp và rãnh puly tạo ra lực kéo.
Khi bộ truyền lực kéo quay, năng lượng điện được truyền từ bộ truyền lực kéo sang cabin thang máy và đối trọng. Năng lượng điện chỉ cần thiết để di chuyển tải không cân bằng giữa thang máy và đối trọng.

Cáp tải thang máy
Bánh răng
Chức năng của thang máy là chuyển đổi công suất điện ban đầu chạy động cơ thành công suất cơ học để hệ thống có thể sử dụng. Thang máy được cấu tạo bởi một động cơ và phổ biến nhất là hệ thống giảm tốc bánh răng sâu. Hệ thống bánh răng sâu được tạo thành từ một bánh răng sâu và một bánh răng tròn lớn hơn. Hai bánh răng này có trục quay vuông góc với nhau, không chỉ làm giảm tốc độ quay của puly kéo, mà còn thay đổi mặt phẳng quay. Bằng cách giảm tốc độ quay, cùng với việc sử dụng hộp giảm tốc, chúng ta cũng tăng mô-men xoắn đầu ra, do đó có khả năng nâng các vật lớn hơn đối với một đường kính puly nhất định. Bánh răng sâu được lựa chọn nhiều hơn các loại bánh răng khác vì tính nhỏ gọn và khả năng chịu tải va đập cao hơn. Nó cũng dễ dàng được gắn vào trục động cơ, đôi khi thông qua việc sử dụng khớp nối.

Động cơ thang máy có thể là động cơ điện một chiều (DC) hoặc động cơ điện xoay chiều (AC). Động cơ DC có mô-men xoắn khởi động tốt và dễ kiểm soát tốc độ. Động cơ AC được sử dụng thường xuyên hơn vì độ chắc chắn và đơn giản của nó. Động cơ được chọn tùy thuộc vào ý định thiết kế cho thang máy. Công suất cần thiết để cabin khởi động chuyển động bằng công suất để thắng ma sát tĩnh hoặc đứng yên và để gia tốc khối lượng từ trạng thái nghỉ đến vận tốc tối đa. Một động cơ tốt là một động cơ có khả năng điều chỉnh tốc độ và mômen khởi động tốt.
Phanh
Loại phanh thang máy phổ biến nhất được tạo thành từ cụm lò xo nén, guốc phanh có lót và cụm điện từ. Khi bộ điện từ không được cung cấp năng lượng, lò xo buộc guốc phanh bám vào trống phanh và tạo ra mômen phanh. Nam châm có thể tác động một lực theo phương ngang để nhả phanh. Trong cả hai trường hợp, kết quả là như nhau. Phanh được kéo ra khỏi giếng thang và vận tốc của thang máy được phục hồi lại.
Để cải thiện khả năng dừng, vật liệu có hệ số ma sát cao được sử dụng trong các phanh, chẳng hạn như amiăng liên kết kẽm. Vật liệu có hệ số ma sát quá cao có thể dẫn đến tình trạng cabin bị giật khi dừng hoặc khởi động. Vật liệu này phải được lựa chọn cẩn thận.
Thông thường, hiệu suất của máy có hộp số là 60% đối với cụm động cơ và hộp số. Hiệu suất này được ước tính cho tải trọng 2500 lb (*), phù hợp với thang máy dân dụng có kích thước thông thường, chạy với tốc độ 1,75 m/s.
VẬT LÝ
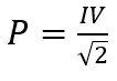
Hoạt động truyền lực xảy ra trong toàn bộ hệ thống thang máy. Công suất điện đặt vào động cơ bằng:
![]()
(đối với động cơ AC)
Trong đó V là hiệu điện thế và là nguồn điện xoay chiều. Công suất này sau đó được chuyển qua đầu ra của trục động cơ,
![]()
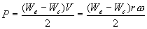
Trong đó T là mômen và w là tốc độ quay. Khi công suất được truyền qua hộp giảm tốc, tốc độ đầu ra sẽ giảm và mô-men xoắn sẽ lớn hơn. Tổng công suất sẽ thấp hơn một chút vì hệ thống không hoạt động hiệu quả 100%. Lực căng cáp từ puly thang máy bằng trọng lượng của thang máy, We. Lực căng cáp so với đối trọng là Wc.

Hình 1. Giản đồ lực của hệ thống puly
Phân tích sau đây đã được thực hiện đối với hoạt động ở trạng thái ổn định (không tăng tốc). Lực tác dụng lên puly dẫn động bằng hiệu của hai lực căng tác dụng vào mỗi bên. Ở một bên, lực này bằng We và ở bên kia, nó là Wc. Do đó, lực thuần tác dụng lên puly 1 (puly dẫn động) là:
![]()
Để tìm công suất cần thiết cho chuyển động của thang máy thì phải biết tốc độ quay của trục truyền động hoặc vận tốc của thang máy. Công suất đầu ra là (giả sử hiệu suất 100%),
![]()
với r là bán kính của puly

Hình 2. Dòng điện qua một thang máy điển hình
GIỚI HẠN VẬT LÝ:
Như đã giải thích ở trên, phanh được giữ chặt bởi một lò xo và thả ra bằng cách sử dụng một nam châm. Giản đồ lực dưới đây cho thấy các lực này được phân bố như thế nào. Lực do lò xo tác dụng gần với khớp chốt hơn nhiều và do đó, dễ bị lực kéo từ tính đè lên do cánh tay đòn của nó dài hơn (khoảng cách lớn từ điểm quay).

Hình 3. Sơ đồ hệ thống phanh

Hình 4. Giản đồ lực của hệ thống phanh
(*): 1 lb = 0.453592 kg
Theo MIT.edu

































