Các yếu tố cần tính đến khi lựa chọn tốc độ thang máy
1. Kết cấu của tòa nhà
Lựa chọn tốc độ thang máy bị giới hạn bởi tải trọng định mức, kích thước cabin, cấu trúc giếng thang, hố thang (PIT) hay đỉnh giếng (OH- Overhead).
Do đó, để lựa chọn một giải pháp thang máy cần tính toán về khả năng chịu lực, kích thước không gian,… của công trình dành cho thiết bị thang máy.
Việc tính toán này càng quan trọng đối với các công trình cải tạo hoặc công trình có không gian hạn chế dành cho thang máy. Với nhiều công trình thấp tầng, không gian hẹp,… thường chỉ có thể lựa chọn thang máy có tốc độ dưới 1m/s.
2. Tiện nghi di chuyển
Yếu tố quan trọng nhất để lựa chọn tốc độ cho một phương tiện vận tải là tiện nghi di chuyển – tức là đảm bảo một mức độ thoải mái nhất định cho hành khách khi sử dụng phương tiện vận tải đó trong quá trình di chuyển.
Yếu tố này có thể cần được tính toán dựa trên mật độ người sử dụng thang máy trong thời điểm trung bình hoặc cao điểm; và thời gian thang máy di chuyển hết chiều cao hành trình hay còn gọi là thời gian di chuyển định mức tN.
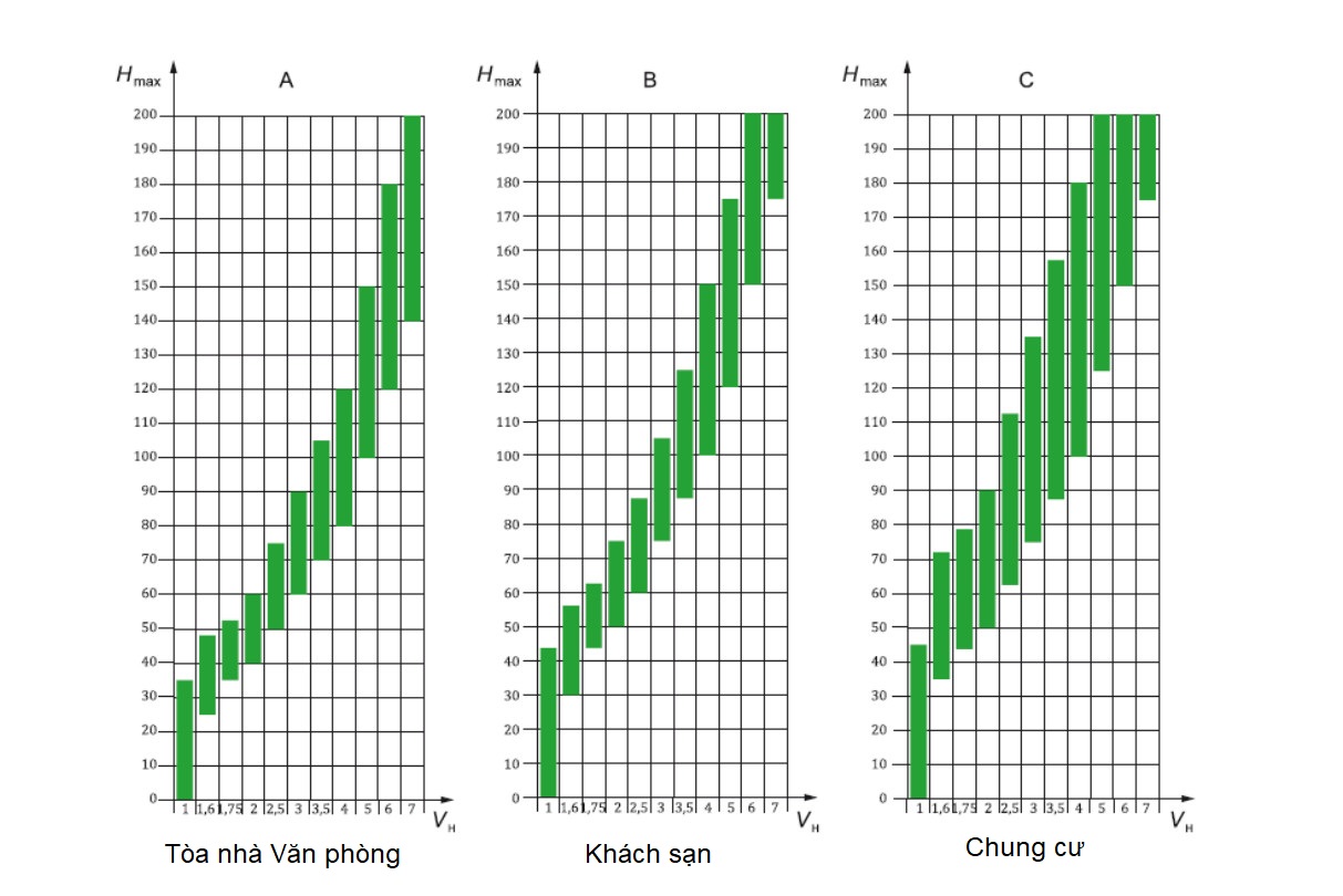
Bảng sau đây cho thấy thời gian di chuyển định mức khuyến nghị đối với các tòa nhà chức năng phổ biến khác nhau.
Bảng 1. Thời gian di chuyển định mức tN của thang máy (Cho công trình có chiều cao hành trình ≤ 200m)
Như bảng trên chúng ta nhận thấy, dải thời gian di chuyển định mức khuyến cáo cho từng tòa nhà tương đối lớn. Ví dụ như với chức năng tòa nhà văn phòng, dải thời gian di chuyển định mức từ từ 20-30 giây, chênh lệch đến 1.5 lần. Ở đây người ta lại phân ra ba cấp độ để đánh giá về chất lượng di chuyển, như sau:
- Chất lượng di chuyển cơ bản
- Chất lượng di chuyển tiêu chuẩn
- Chất lượng di chuyển hoàn hảo
Dĩ nhiên, chúng ta đều muốn một chất lượng di chuyển hoàn hảo cho mỗi chuyến đi và điều gì có thể ngăn cản chúng ta lựa chọn giải pháp này? Đó là ngân sách mua thang máy.
3. Ngân sách đầu tư cho thang máy
Nhiều người nhầm lẫn rằng việc thêm điểm dừng tầng hay tăng tải trọng là nguyên do chủ yếu tạo nên sự thay đổi giá thành (chi phí sản xuất) thang máy, nhưng thực tế, tốc độ thang máy là yếu tố ảnh hưởng lớn nhất đến chi phí sản xuất, và từ đó cũng làm thay đổi giá bán thang máy.
Tốc độ thang máy gắn liền với yêu cầu kỹ thuật, bao gồm lựa chọn động cơ, hệ điều khiển, yêu cầu về hạ tầng kỹ thuật tòa nhà và các thiết bị an toàn khác. Chất lượng di chuyển càng tốt, giá thành càng cao, giá bán càng cao.
Vì vậy, khi lựa chọn tốc độ chúng ta phải tính đến ngân sách đầu tư cho công trình. Những công trình có suất đầu tư cao, có thể lựa chọn thang máy tốc độ cao nhằm giải quyết tối đa vấn đề tiện nghi di chuyển, nhưng trong các tình huống bị giới hạn ngân sách đầu tư thì cần cân đối giữa các tiêu chí ảnh hưởng đến giá mua thang máy.
Tiêu chuẩn hóa tốc độ thang máy
Tốc độ thang máy phụ thuộc nhiều yếu tố và trình độ công nghệ từng thời điểm, bởi vậy, các nhà quản lý chưa quan tâm nhiều đến tiêu chuẩn hóa tốc độ đối với thang máy. Điều này giải thích vì sao ngay cả Tiêu chuẩn Châu Âu EN (European Standard) cũng chưa có bộ tiêu chuẩn về tốc độ thang máy cho các tòa nhà. Tiêu chuẩn EN mới chỉ phân loại thang máy theo tốc độ để phục vụ công tác dịch vụ kỹ thuật như lắp đặt và bảo trì.
Chỉ riêng liên quan đến thang máy gia đình (homelift), Tiêu chuẩn Châu Âu quy định tốc độ tối đa của thang máy là 0,15m/s – đây là tốc độ đảm bảo an toàn cho mọi thành viên trong gia đình sử dụng thang máy (bao gồm cả trẻ nhỏ, người cao tuổi, người mắc bệnh tiền đình, người sử dụng xe lăn,…) trong điều kiện môi trường tại châu Âu.
Gần đây nhất, Liên minh Kinh tế Á – Âu EAEU (Eurasian Economic Union) đã lần đầu xuất bản Tiêu chuẩn liên quốc gia GOST 34588-2021. Thang máy – Xác định số lượng, thông số, kích thước thang máy cho các tòa nhà chức năng khác nhau trên cơ sở tham khảo tiêu chuẩn quốc tế ISO 8100-32:2020 và lựa chọn tốc độ thang máy là một phần quan trọng trong thiết kế thang máy cho các tòa nhà.
Tốc độ định mức của thang máy được xác định bởi tỷ lệ giữa chiều cao hành trình với thời gian thang máy di chuyển hết hành trình đó.
Trên cơ sở công thức này, chúng ta có thể xác định được tốc độ định mức của thang máy phụ thuộc vào chiều cao hành trình tòa nhà với các chức năng khác nhau như sau:
Bảng 2. Khuyến cáo lựa chọn tốc độ định mức theo chiều cao hành trình
Lưu ý: Tiêu chuẩn này áp dụng cho thang máy chở người với thông số cơ bản (thang máy loại I, II và VI theo TCVN 7628-1: 2007), không áp dụng cho:
- Thang máy chở hàng;
- Thang máy có nhiều cabin trong một giếng thang;
- Thang máy có cabin 02 tầng;
- Thang máy có chiều cao hành trình >200m và tốc độ định mức >7m/s.
Dựa trên bảng khuyến cáo và các thông tin trên đây, chúng ta có thể lựa chọn được tốc độ định mức của thang máy cho một tòa nhà cụ thể.
Ví dụ: Đối với thang máy chung cư 20 tầng có chiều cao hành trình khoảng 66m thì chúng ta có dải tốc độ định mức như sau:
- Chất lượng cơ bản : 1,6 m/s
- Chất lượng tiêu chuẩn : 1,75 - 2 m/s
- Chất lượng hoàn hảo : 2,5 m/s
Tựu trung lại, lựa chọn tốc độ thang máy cần dựa trên các tiêu chí liên quan đến tiện nghi sử dụng, ngân sách đầu tư, kết cấu kỹ thuật tòa nhà, chiều cao hành trình và đáp ứng tiêu chuẩn của từng nước/khu vực.
Tham khảo thêm:
https://tapchithangmay.vn/huong-dan-ve-tieu-chuan-iso-8100-32-2020/






















![[Video] Suýt bị nghiền nát vì thang máy đột ngột di chuyển [Video] Suýt bị nghiền nát vì thang máy đột ngột di chuyển](https://media.tapchithangmay.vn/share/web/image/2026/3/suyt-bi-nghien-nat-vi-thang-may-dot-ngot-di-chuyen639083870356098848_260x155.jpg)















